Temas 1.3.3 MODA DE ESTADÍSTICA
La moda es el valor que más se repite en una serie de datos. Es, por lo tanto, el valor de mayor frecuencia. Se representa por Mo. La moda puede no existir; es el caso en que todos los datos se repitan el mismo número de veces. Por ejemplo, en la serie de números 2, 4, 6, 8, no hay ninguna moda. Puede ocurrir también que haya dos datos de máxima frecuencia; entonces hay dos modas y la serie se llama bi modal.
Ejemplo:
en la serie 2, 2, 2, 3, 3, 4, 4, 5, 5, 5, hay dos modas, el 2 y el 5. Del mismo modo se puede hablar de series tri modales, si tienen tres modas, o multimodales si tienen más modas.

http://es.wikipedia.org/wiki/Moda_(estad%C3%ADstica)
Tema 1.4 MEDIDAS DE DISPERSIÓN
Para tener una información completa del comporta miento de una serie no basta con conocer sus promedios, ya que cuando los datos están muy dispersos, éstos no son significativos. Por otro lado, el conocimiento que aportan los promedios sobre las series puede ser confuso; hasta tal punto que dos series completa mente distintas pueden tener los mismos valores centrales. Antes de proceder a evaluar una serie, es necesario obtener la información que ofrecen las medidas de dispersión. Las medidas de dispersión son unos parámetros, o valores numéricos, que indican el grado de separación entre los datos de la serie. Cuanto mayores son las medidas de dispersión, menor representatividad tienen los promedios.

Las medidas de dispersión se dividen en dos que son las absolutas y las relativas; Estas a su vez contiene lo siguiente:
Medidas de dispersión absolutas:
1.- Recorridos
2.- Desviaciones medias
3.- Varianza y desviacion típica
4.- Meda
Medidas de dispersión relativa:
1.- Coeficiente de variación de Pearson
2.- Coeficiente de apertura
3.- Recorridos relativos
4.- Índice de desviacion respecto a la mediana
Es así como se dividen las medidas de dispersión, por lo general las que mas llegamos a ver en la escuela son las absolutas...si deseas complementar mejor tu información y de la misma manera obtener mejor información sobre cada una de las medidas y sus subtemas visita la pagina:
http://es.wikipedia.org/wiki/Par%C3%A1metro_estad%C3%ADstico#Varianza_y_desviaci.C3.B3n_t.C3.ADpica
Tema 1.4.1 VARIANZA DE ESTADÍSTICA
La varianza de una serie es la media aritmética de los cuadrados de las desviaciones de los datos respecto de su media. Se designa por σ2.

Al elevar las desviaciones al cuadrado se evita, como en la desviación media, el
resultado nulo de la suma de todas las desviaciones de los datos respecto a la media.
Ejemplo:

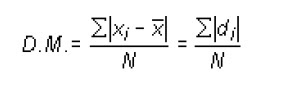
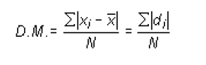
Tema 1.4.2 DESVIACION MEDIA
Se define la desviación media, D.M., como la media aritmética de las desviaciones, en valor absoluto, de los datos respecto a la media:

Si los datos tienen frecuencia absoluta nj ≥ 1, la desviación media será:
Como la suma de todas las desviaciones de los datos de una serie es cero (Σdj=0); para evitar que unas desviaciones se neutralicen con otras, se toma su valor absoluto. La desviación media proporciona información acerca del grado de separación de los datos respecto de su media.
Ejemplo:
Tema 1.4.3 DESVIACION ESTÁNDAR
Es la raíz cuadrada de la varianza. Se mide en las mismas unidades que las observaciones originales. Se usa el símbolo s o bien ds para representar la desviación estándar.
Tanto la desviación media como la varianza y la desviación estándar se encuentran muy influidas por valores extremos. Por lo tanto, cuando la muestra presenta mucha asimetría, estos no son buenos indicadores de la dispersión, pues están sobre valorados.
Ejemplo:
Bueno eso es todo y claro que si por tu propia iniciativa deseas complementar de otra forma tu información puedes hacerlo, aquí t dejo unas paginas para que puedas hacerlo:
http://www.eumed.net/cursecon/libreria/drm/drm-estad.pdf
http://es.wikipedia.org/wiki/Par%C3%A1metro_estad%C3%ADstico#Varianza_y_desviaci.C3.B3n_t.C3.ADpica
También si requieres de practica te dejo este enlace para q puedas resolver unos cuantos ejercicios, puede que tengas algo de problema con las variables y constantes pero la formula bien siendo por lo general la misma:
http://ponce.inter.edu/cremc/esta.htm
http://www.ucm.es/info/eue/pagina/APOYO/RosarioCintas/PROBLEMAS%20EST.%20DESCRIPTIVA.pdf
Pocoyo n esta nada mal y mira que costo que aprendieras jajajaja....es bromix sale bye tkm
ResponderEliminar